
货号
产品规格
售价
备注
BN14010-10 mg
10 mg
¥480.00
产品参数
外观:可溶于乙醇、DMF、DMSO的深红色固体
Ex/Em (MeOH) = 549/565 nm
CAS号:41085-99-8
分子式:C59H97ClN2O4
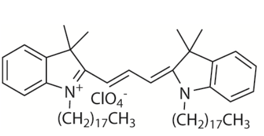
分子量:933.9分子结构图:

储存条件:-20℃避光保存,有效期见外包装。
产品介绍
DiI即DiIC18(3),全称为1,1'-dioctadecyl-3,3,3',3'tetra- methylindocarbocyanine perchlorate,是最常用的细胞膜荧光探针之一,呈现橙红色荧光。DiI是一种亲脂性膜染料,进入细
胞膜后可以侧向扩散逐渐染色整个细胞的细胞膜。DiI在进入细胞膜之前荧光非常弱,仅当进入到细胞膜后才可以被激发出很强的荧光。常与DiA一起用于细胞膜双色标记。
DiI作为示踪剂或长期示踪剂(long-term tracer),可以被广泛用于正向或逆向、活的或固定的神经等细胞或组织。DiI通常不会影响细胞的生存力(viability)。被DiI标记的神经细胞在体外
培养的条件下可以存活长达4周,在体内可以长达一年。DiI在被固定的神经元细胞膜上的迁移速率为0.2-0.6 mm/day,在活的神经元细胞膜上的的迁移速率为6 mm/day。
DiI除了用于细胞膜荧光标记外,还可用于检测细胞的融合和粘附、发育或移植过程中细胞的迁移,通过FRAP(光脱色荧光恢复技术)检测脂在细胞膜上的扩散,检测细胞毒性和标记脂
蛋白等。
DiI染色后可进行多聚甲醛(不可使用甲醇等其他试剂)的固定,但不建议在染色后进行透化的过程。此外,在固定透化(室温下用0.1% TritonX-100 透化)后,也可以很好地进行质膜
染色。
以每次使用100 μL染色工作液,染色工作液浓度10 μM计算,10 mg配置为工作液大概可以用10707次。
注意事项
1. 使用前请将产品瞬时离心至管底,再进行后续实验。
2. DiI染色固定的细胞或组织样品时,通常使用配制在PBS中的4%多聚甲醛进行固定,使用其它不适当的固定液会导致荧光背景较高。
3. 荧光染料均存在淬灭问题,请尽量注意避光,以减缓荧光淬灭。
4. 为了您的安全和健康,请穿实验服并戴一次性手套操作。